Срочно!! Даю 20 баллов
(7 класс)
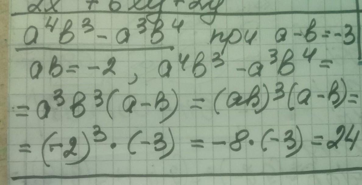
Найдите значение выражения:
2) a ^ 4 * b ^ 3 - a ^ 3 * b ^ 4 при a - b = - 3 , ab = 2
                        
                            
                            
                    Ответы
                                            Ответ дал: 
                                                                                    
                                        
                                            
                                                
                                                
                                                
                                                    1
                                                
                                            
                                        
                                    Ответ:
решение смотри на фотографии
Приложения:
                     
                            
                    MeowKittyMeow:
                    Спасибо!!!
                
            Вас заинтересует
                
                        1 год назад
                    
                
                        1 год назад
                    
                
                        3 года назад
                    
                
                        3 года назад
                    
                
                        8 лет назад