• Предмет: Алгебра
  • Автор: taniacherbachenko
  • Вопрос задан 2 года назад

Розв'яжіть будь ласка рівняння. Даю 50 балів. Детально.

Приложения:

Ответы

Ответ дал: Universalka
2

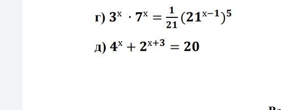
\displaystyle\bf\\1) \  \ 3^{x}\cdot 7^{x}=\frac{1}{21} \Big(21^{x-1} \Big)^{5} \\\\\\(3\cdot 7)^{x} =21^{-1}\cdot 21^{5x-5} \\\\\\21^{x} =21^{-1+5x-5} \\\\\\21^{x} =21^{5x-6}\\\\\\x=5x-6\\\\4x=6\\\\x=1,5

\displaystyle\bf\\2) \  \ 4^{x} +2^{x+3} =20\\\\(2^{x})^{2}+2^{x} \cdot 2^{3}-20=0\\\\(2^{x})^{2} +8\cdot 2^{x}-20=0\\\\2^{x}=m \  \ , \  \ m > 0\\\\m^{2} +8m-20=0\\\\D=8^{2}-4\cdot(-20)=64+80=144=12^{2}\\\\\\m_{1}=\frac{-8+12}{2} =2\\\\\\m_{2} =\frac{-8-12}{2}=-10 < 0-neyd\\\\\\2^{x}=2\\\\x=1


Аноним: Здравствуйте. вы не могли бы мне помочь с алгеброй пожалуйста умоляюю
Вас заинтересует