• Предмет: Математика
  • Автор: rostuslav31052005
  • Вопрос задан 2 года назад

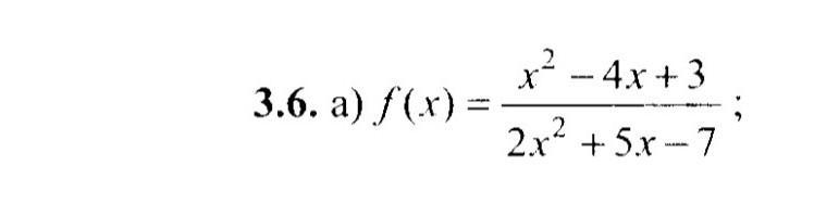
Виконати завдання. Даю 100 балів.

Приложения:

Kormash: А що знайти? Обернену функцію?

Ответы

Ответ дал: waitaminute847
0

Ответ:

вот ответ на ваш функц. уравнение

Приложения:
Вас заинтересует