Ответы
Ответ дал:
0
224 літра вуглекислого газу
Приложения:

Ответ дал:
0
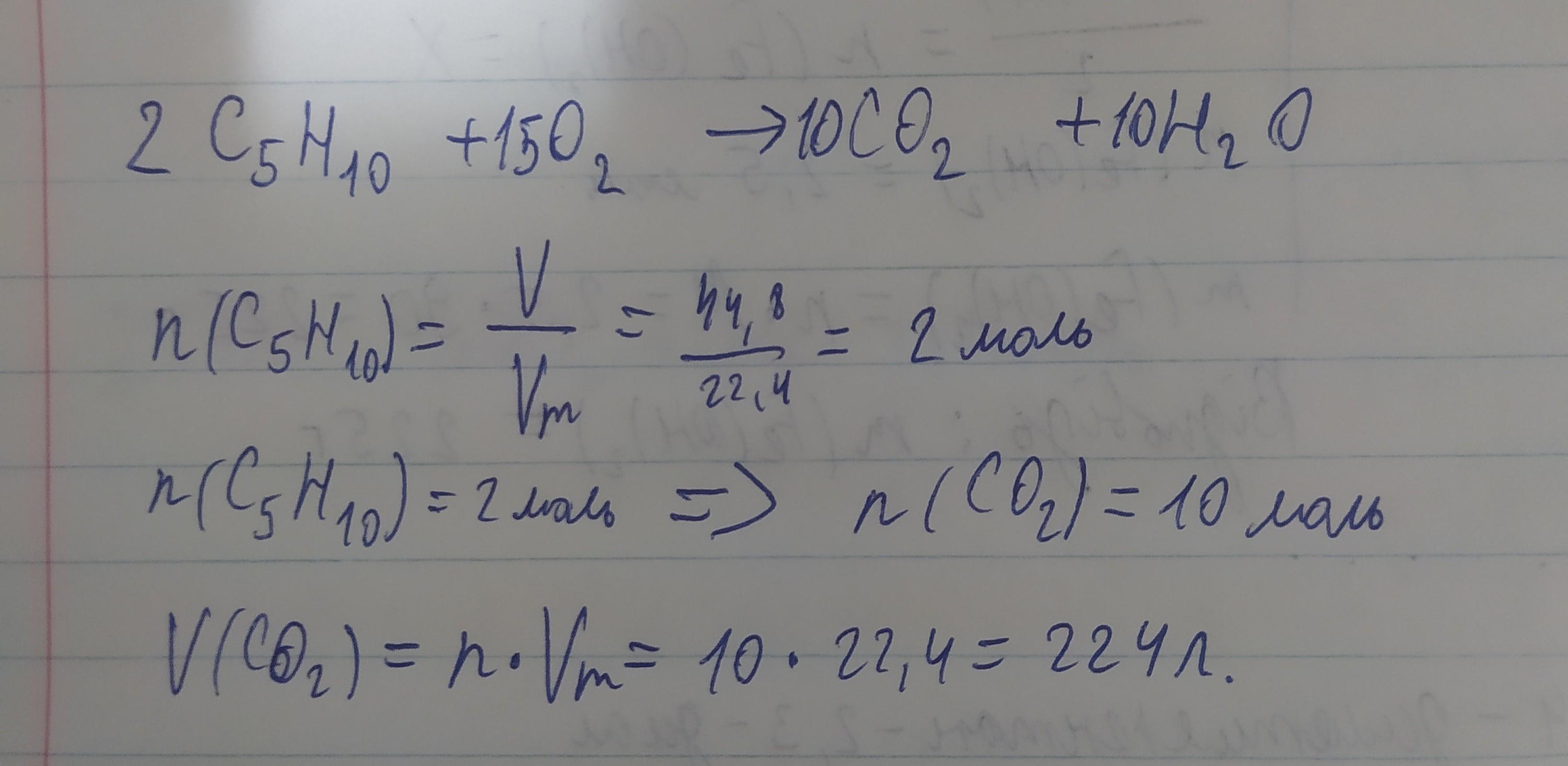
Дано:
V(C5H10) = 44,8 л
Знайти:
V(CO2) - ?
Розв'язання:
1) 2C5H10 + 15O2 → 10CO2 + 10H2O;
2) V(CO2) = V(C5H10) * 10 / 2 = 44,8 * 10 / 2 = 224 л.
Відповідь: Об'єм CO2 становить 224 л.
Вас заинтересует
1 год назад
1 год назад
1 год назад
3 года назад
3 года назад
8 лет назад
8 лет назад