Найдите значение выражения | + | + , если:
1. = 5,7, = −6,8;
2. = −3
2
15
, = 4
5
12
.
Приложения:

Ответы
Ответ дал:
0
Ответ:
вот решение
Пошаговое объяснение:
решение ниже
Приложения:

Ответ дал:
0
Пошаговое объяснение:
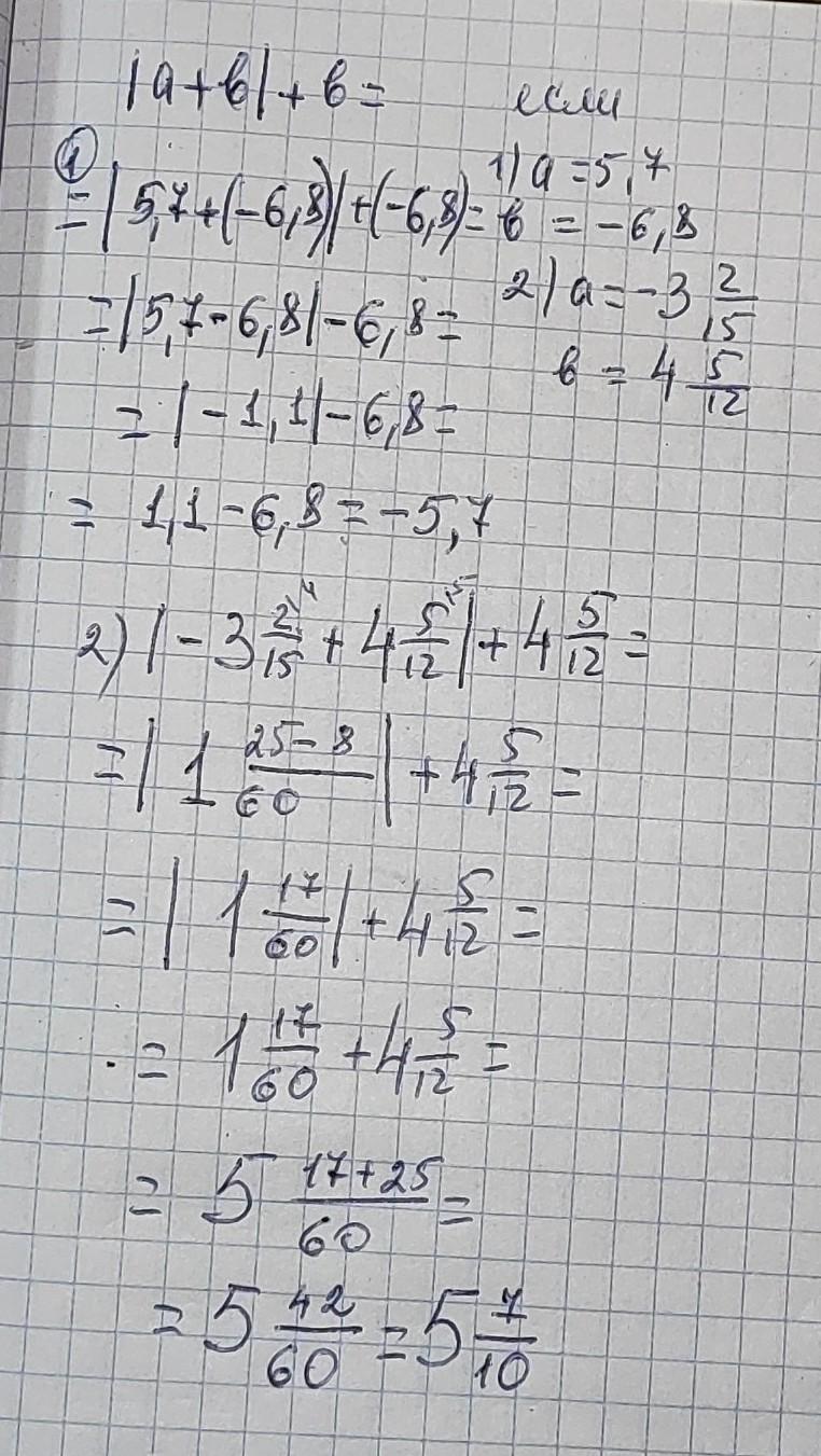
№1
а = 5,7; в = -6,8
|а + в| + в = |5,7 + (-6,8)| + (-6,8) = |5,7 - 6,8| - 6,8 =
|-1,1| - 6,8 = 1,1 - 6,8 = -5,7
№2
а = -3 2/15; в = 4 5/12
|а + в| + в = |-3 2/15 + 4 5/12| + 4 5/12 =
|-3 8/60 + 4 25/60| + 4 5/12 =
|1 17/60| + 4 5/12 = 1 17/60 + 4 25/60 =
5 42/60 = 5 7/10
Вас заинтересует
1 год назад
1 год назад
1 год назад
1 год назад
3 года назад
8 лет назад