• Предмет: Алгебра
  • Автор: ivanskripnik772
  • Вопрос задан 2 года назад

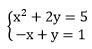
Решить систему уравнений способом подстановки

Приложения:

Ответы

Ответ дал: tetamotatetyamotya
1

Ответ:

вот

Объяснение:

Приложения:

vlattess: здравствуйте помогите мне пожалуйста с алгеброй
vlattess: очень очень срочно
Вас заинтересует