Ответы
Ответ дал:
0
Ответ:
щодо третього я сумніваюся, прошу пробачення
Объяснение:
1. 1) 8-2(х+3)=10-6х
8-2х-6=10-6х
8-6-10=2х-6х
-8=-4х
х=2
2)-4(х-0,5)+2(х+0,3)=2,6
-4х+2+2х+0,6=2,6
2+0,6-2,6=4х-2х
2х=0
х=0
2. -2
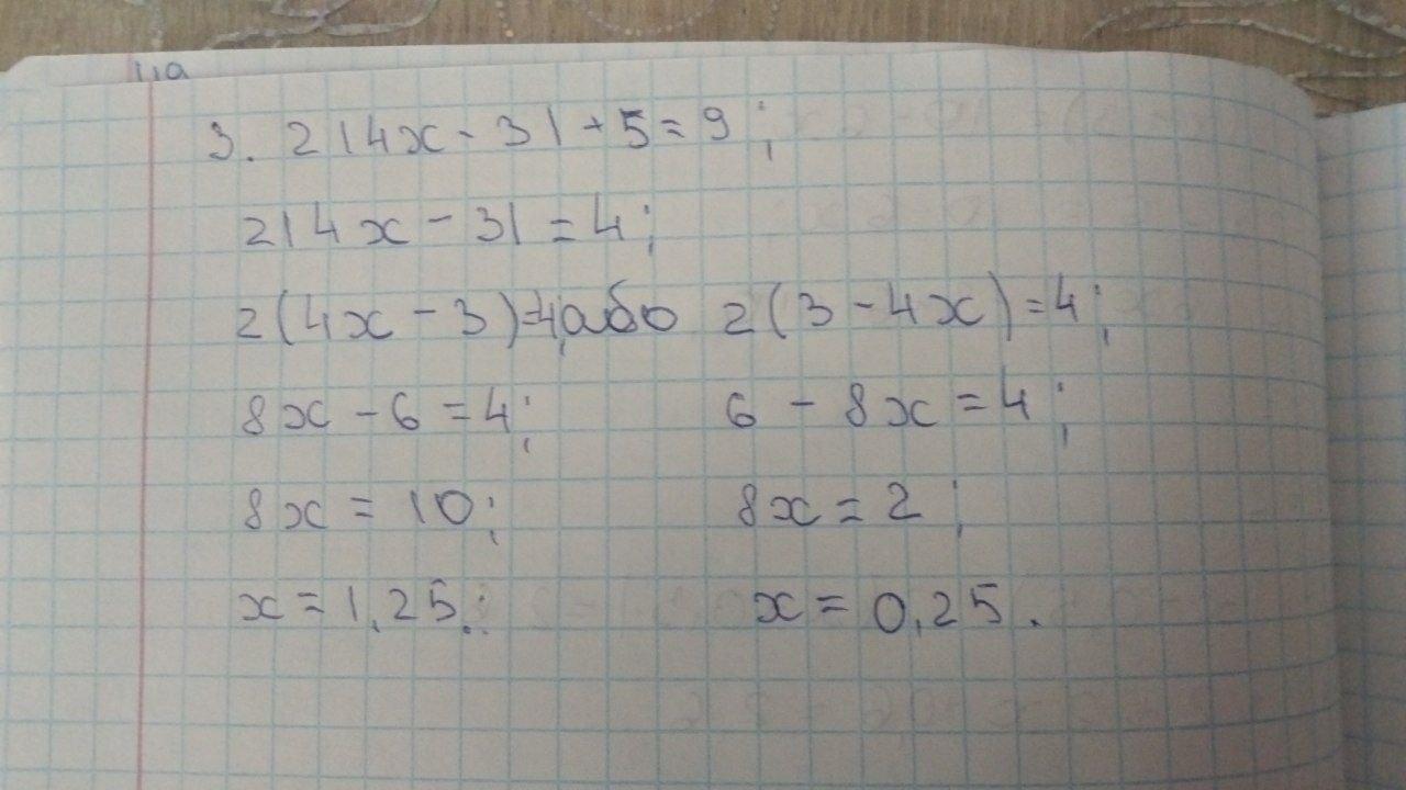
3. 2|4х-3|+5=9
2|4х-3|=9-5=4
2(4х-3)=4 або 2(3-4х)=4
8х-6=4
8х=6+4=10
х=1,25
або
6-8х=4
-8х=4-6=-2
х=0,25
Ответ дал:
1
Відповідь:
Пояснення:
Приложения:


Вас заинтересует
1 год назад
1 год назад
1 год назад
1 год назад
3 года назад
3 года назад
8 лет назад