допоможіть будь ласка!
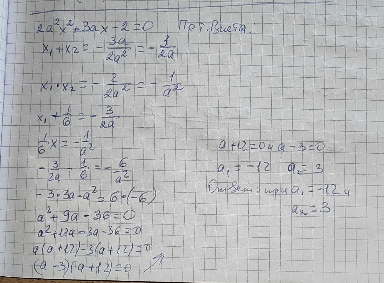
1)При яких значеннях а число 1/6 є коренем рівняння 2a²x² +3ax-2=0?
2)Розв'яжіть рівняння:
1) x²+2x+7/х-6=48+7/х-6
2) 1) |x²+11x-6|=6
Ответы
Ответ дал:
1
Ответ:
вот решение
Объяснение:
решение на листочке
Приложения:


Вас заинтересует
1 год назад
1 год назад
1 год назад
3 года назад
3 года назад
8 лет назад