• Предмет: Алгебра
  • Автор: rnk99
  • Вопрос задан 2 года назад

Дуже срочно треба рішити!!!Будь ласка

Приложения:

Аноним: напиши свой инст,там решу,данное сообщение не имеет никакой личной информации
rnk99: Вже колись давав інст, сказали за гроші. В мене немає картки

Ответы

Ответ дал: ulzhbek16
0

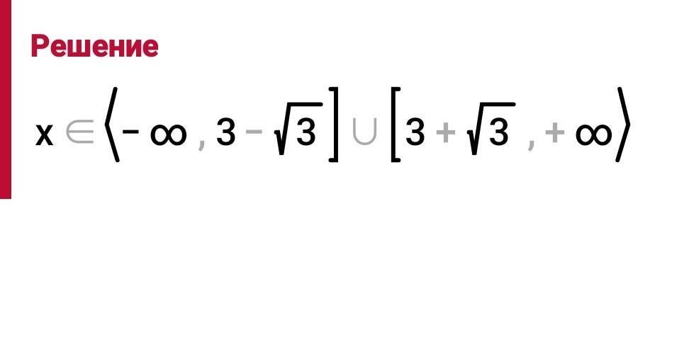
Ответ:

все по порядку сложено так что это ответ.

Объяснение:

1

【- — ,18 это первый

3

Приложения:
Вас заинтересует