• Предмет: Математика
  • Автор: perdolys
  • Вопрос задан 2 года назад

Помогите пж как решыть с объяснением

Приложения:

Ответы

Ответ дал: parus77
0

Ответ:

Пошаговое объяснение:

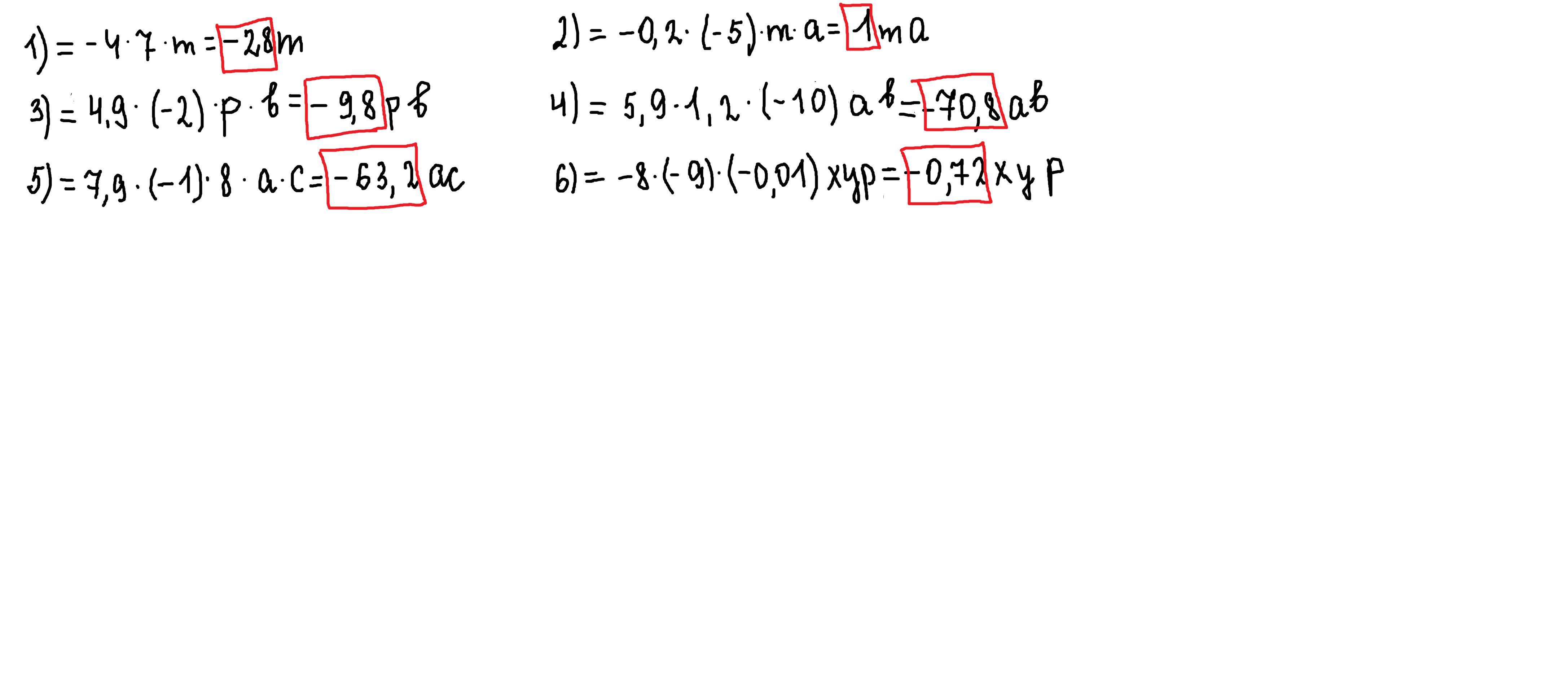
решение внизу,коэффициенты в красных квадратиках(это число вместе со знаком)

Приложения:
Вас заинтересует