• Предмет: Математика
  • Автор: milanabondarenko2010
  • Вопрос задан 2 года назад

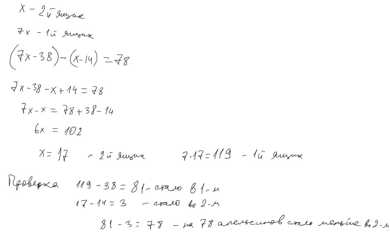
в одному ящику було в 7 разів більше апельсинів ніж у другому. коли з першого ящика взяли 38 апельсинів, а з другого 14, то у другому залишилося на 78 апельсинів менше, ніж у першому. Скільки апельсинів було в кожному ящику спочатку. Аж даю 25 балов ​

Ответы

Ответ дал: Warlock1
0

Ответ:

119 и 17

Пошаговое объяснение:

Приложения:
Вас заинтересует