• Предмет: Алгебра
  • Автор: stanislav21102008
  • Вопрос задан 2 года назад

Помогите СРОЧНООООООО!

Приложения:

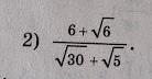
stanislav21102008: Скоротіть Дріб

Ответы

Ответ дал: zere020812
0

Ответ:

21,6524758 переспрашиваю получается 6+✓6×✓30+✓5?

Вас заинтересует