• Предмет: Алгебра
  • Автор: PaintNavernoe
  • Вопрос задан 2 года назад

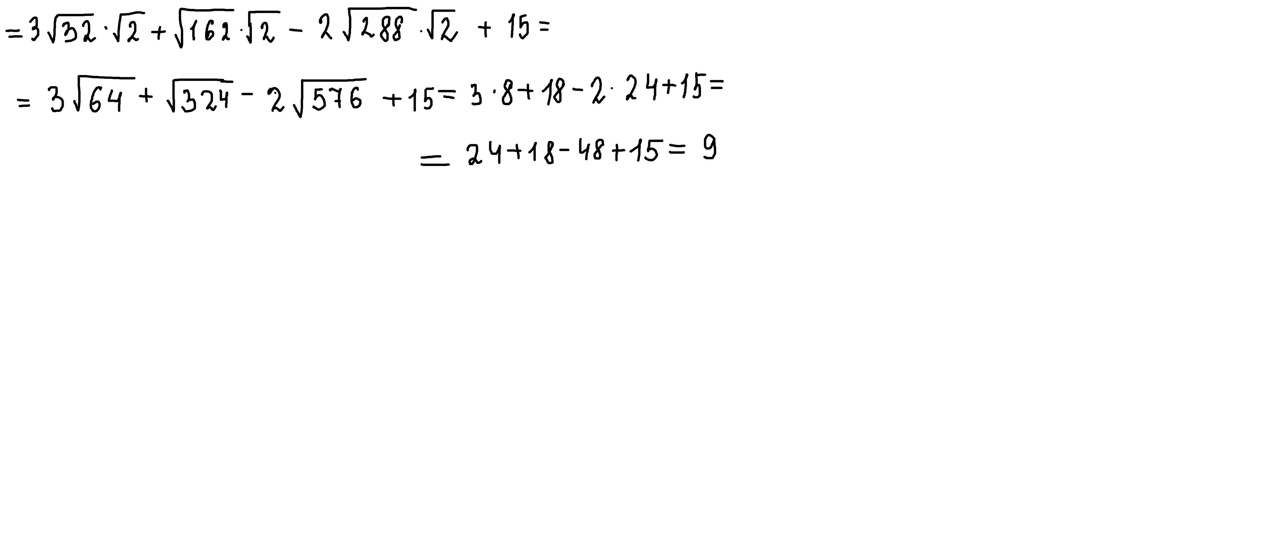
Обчислити вирази
-----------------------------

Приложения:

yeuehdb73: буде 9

Ответы

Ответ дал: parus77
0

Ответ:

9

Объяснение:

решение внизу( таблица квадратов в помощь)

Приложения:
Вас заинтересует