Ответы
Ответ дал:
0
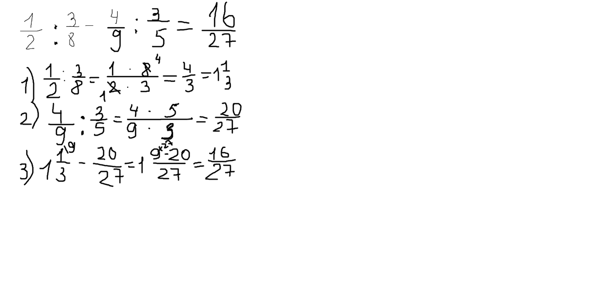
1/2 : 3/8 = 1/2 * 8/3 = 1 1/3 (Одна целая одна третья)
4/9 : 3/5 = 20/27
1 1/3 - 20/27 = 16/27
Удачи :)
4/9 : 3/5 = 20/27
1 1/3 - 20/27 = 16/27
Удачи :)
Ответ дал:
0
12 / 38 - 49 / 35= 1627
посмотри фото
посмотри фото
Приложения:

Ответ дал:
0
спс
Вас заинтересует
2 года назад
2 года назад
8 лет назад
8 лет назад
10 лет назад
10 лет назад