• Предмет: Алгебра
  • Автор: Аноним
  • Вопрос задан 2 года назад

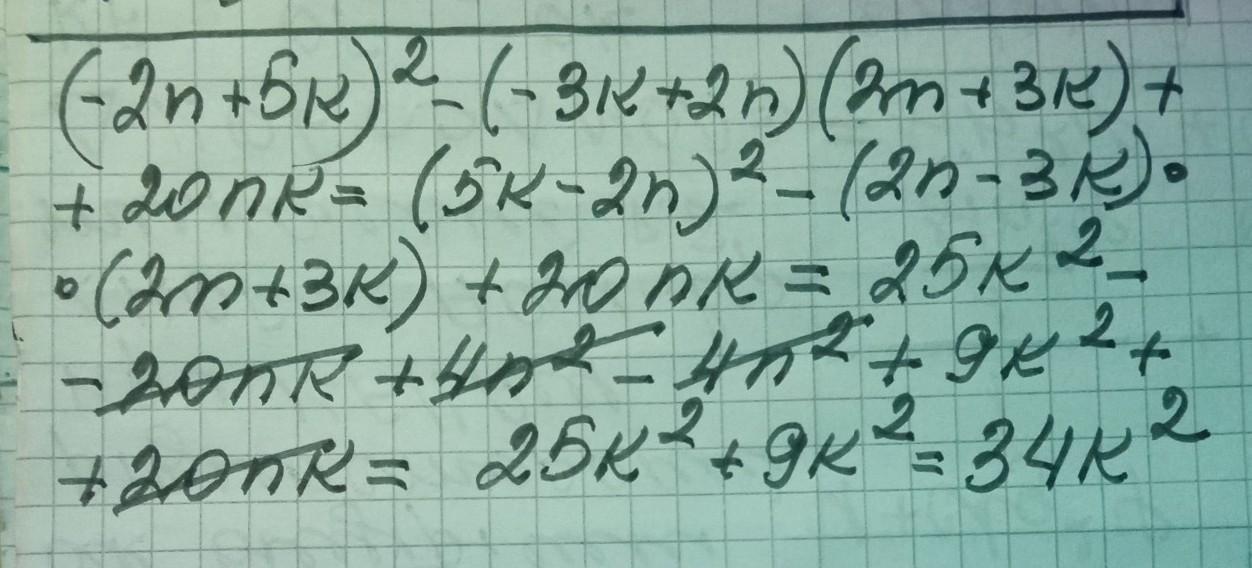
ДОПОМОЖіТЬ Спростіть вираз (-2n+5k)2-(-3k+2n)(2n+3k)+20nk


Аноним: І ось ще приклад (m+4)(m2-4m+16)-m(m+3)(m-3)

Ответы

Ответ дал: manyny06
0

Ответ:

решение смотри на фотографии

Приложения:

Аноним: Дякуююююю спасибо!!!
Ответ дал: Universalka
1

\displaystyle\bf\\1)\\\\(-2n+5k)^{2} -(-3k+2n)(2n+3k)+20nk=\\\\=(5k-2n)^{2} -(2n-3k)(2n+3k)+20nk=\\\\=(5k)^{2}-2\cdot 5k\cdot 2n+(2n)^{2} -\Big[(2n)^{2} -(3k)^{2} \Big]+20nk=\\\\=25k^{2} -20nk+4n^{2}-4n^{2} +9k^{2} +20nk=\\\\=(\underbrace{25k^{2} +9k^{2}}_{34k^{2}}  )+(\underbrace{4n^{2} -4n^{2}}_{0} )+(\underbrace{20nk-20nk}_{0})=34k^{2}

\displaystyle\bf\\2)\\\\\underbrace{(m+4)(m^{2} -4m+16)}_{m^{3} +4^{3}} -m \underbrace{(m+3)(m-3)}_{m^{2} -3^{2} }=\\\\\\=m^{3}+64-m\cdot (m^{2} -9)=m^{3} +64-m^{3} +9=73


Аноним: Спасибл
Вас заинтересует