• Предмет: Математика
  • Автор: denmed1996
  • Вопрос задан 2 года назад

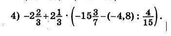
помогите срочно пж даю 40 баллов

Приложения:

eyeyyeey66: ответ 10
eyeyyeey66: 10/3

Ответы

Ответ дал: atham80
1

Ответ:

Пошаговое объяснение:

Приложения:
Вас заинтересует