• Предмет: Математика
  • Автор: 1geksert
  • Вопрос задан 2 года назад

Нужно срочно, математика 6 класс

Приложения:

Ответы

Ответ дал: iramazurk
0

Пошаговое объяснение:

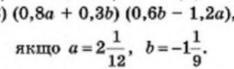
(0,8а + 0,3в)(0,6в - 1,2а) =

0,48ав - 0,96а² + 0,18в² - 0,36ав =

0,12ав - 0,96а² + 0,18в²

а = 2 1/12; в = -1 1/9

0,12ав - 0,96а² + 0,18в² =

(0,12 * 2 1/12 * (-1 1/9)) - (0,96 * (2 1/12)²) + (0,18 * (-1 1/9)²) =

(12/100 * 25/12 * (-10/9) - (96/100 * (25/12)²) + (18/100 * (-10/9)²) =

(1/4 * (-10/9)) - (24/25 * 625/144) + (9/50 * 100/81) =

-10/36 - (1/1 * 25/6) + (1/1 * 2/9) =

-5/18 - 25/6 + 2/9 = -5/18 - 75/18 + 4/18 =

-76/18 = -4 4/18 = -4 2/9

Ответ дал: сок111213
0

Решение на прикреплённой фотографии

Приложения:
Вас заинтересует