• Предмет: Алгебра
  • Автор: poljechkalo
  • Вопрос задан 2 года назад

Напишіть повне розв'язання. Порівняйте числа: ОЧЕНЬ СРОООЧНРОООООО

Приложения:

Ответы

Ответ дал: parus77
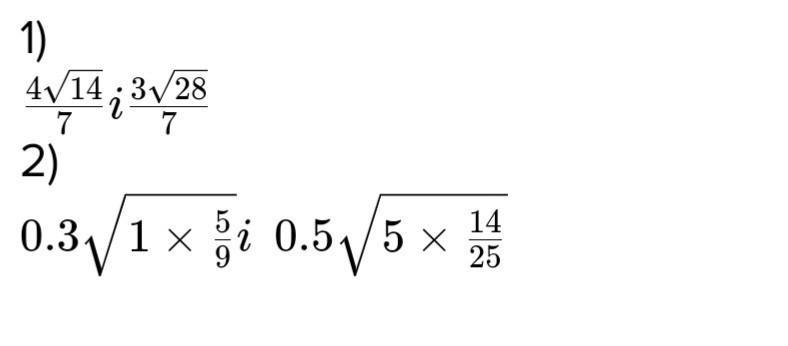
1

Ответ:

Объяснение:

решение внизу,если где то непонятно-спрашивайте

надо внести множитель по знак корня

Приложения:

poljechkalo: Спасибо огромное
parus77: пожалуйста
poljechkalo: а ты сможешь написать это на листочке? чтобы было видно тетрадь. Если хочешь то могу за это ещё балы дать???
parus77: пожалуйста
poljechkalo: что пожалуйста
poljechkalo: ну так что, сможешь?
parus77: на листочке не смогу,у меня ноутбук,на него сфоткать не получится.А на счет "пожалуйста" ,так это комментарии зависают,я думала,что вы написали -спасибо,вот я и ответила.
parus77: посмотри мой профиль,как думаешь-мне нужны баллы?
Вас заинтересует