Ответы
Ответ дал:
1
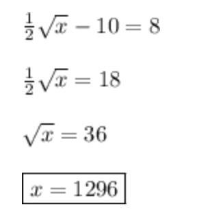
Щоб знайти значення x, необхідно спочатку виконати кілька математичних операцій над заданим рівнянням.
1)Почнемо з того, що помножимо обидві сторони рівняння на 2:
1/2 √x - 10 = 8
(1/2)√x = 18
2)Помножимо обидві сторони рівняння на 2/1, щоб позбутися від знаменника:
2/1 * (1/2)√x = 2/1 * 18
√x = 36
3)Піднесемо обидві сторони рівняння до квадрату, щоб вилучити корінь:
(√x)² = 36²
x = 1296
Отже, розв'язком рівняння 1/2 √x - 10 = 8 є x = 1296.
termienoy:
1/2 √x - 10 = 8 є x = 1296.
Ответ дал:
0
ОтвВОТТТТТТТТТТТТТТТТ
Объяснение:
Приложения:

Вас заинтересует
1 год назад
1 год назад
1 год назад
1 год назад
3 года назад