• Предмет: Алгебра
  • Автор: 26012002roma
  • Вопрос задан 2 года назад

ПОЖАЛУСТА РЕШИТЕ ДАМ 50 БАЛОВ​

Приложения:

Ответы

Ответ дал: maksutovakamila15
1

Ответ:

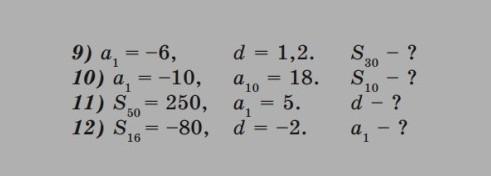
9) S30= 2×(-6)+1,2×29/2 ×30=342

10) a10=a1+d

18=-10+d

d=28

S10= 2×(-10)+28×9/2 ×10=1160

11) S50=2a1+d(n-1)/2 ×n

250=2×5+d×49/2 ×50

d=0

12) -80=2×a1+(-2)×15/2 ×16

a1=10

Вас заинтересует