• Предмет: Математика
  • Автор: marlia61
  • Вопрос задан 2 года назад

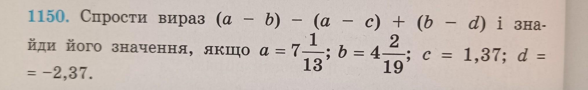
ТЕРМІНОВО!! БУДЬ ЛАСКА!! Даю 15 балів​

Приложения:

Ответы

Ответ дал: YYarr
1

Ответ и решение на фотке, ответ можно записать как 3\frac{37}{50}

Приложения:

marlia61: дякую!!
Вас заинтересует