• Предмет: Алгебра
  • Автор: Pomogiteporalysta
  • Вопрос задан 2 года назад

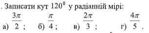
Помогите пожалуйста!!!

Приложения:

Ответы

Ответ дал: polbanana
0

Ответ:

В. Розв'язання на фото

Объяснение:

Приложения:
Вас заинтересует