• Предмет: Алгебра
  • Автор: vesaillsasha
  • Вопрос задан 2 года назад

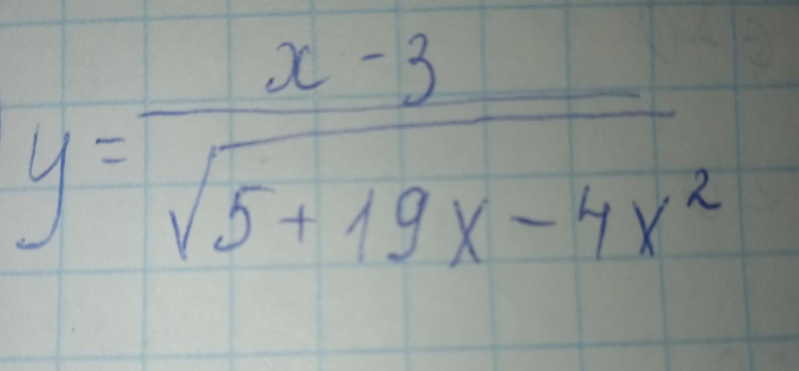
y = x-3/√5 +19X-4X² обл. визн.​

Приложения:

Ответы

Ответ дал: 0marsianin0
1

Ответ:

x є (-0.25;5)

Объяснение:

5+19x-4x²>0

4x²-19x-5<0

4(x-5)(x+0.25)<0

x є (-0.25;5)

Вас заинтересует