• Предмет: Алгебра
  • Автор: Norman7895
  • Вопрос задан 2 года назад

!!!!!!!!!!!ХЕЛП!!!!!!!!!!!!

Приложения:

Ответы

Ответ дал: HoweverNot
0

Объяснение:

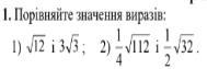
1)√12<√3*9 => √12<√27

2)√1/16*112 < √1/4*32 => √7<√8

Вас заинтересует