• Предмет: Алгебра
  • Автор: dfgdsgdgf
  • Вопрос задан 2 года назад

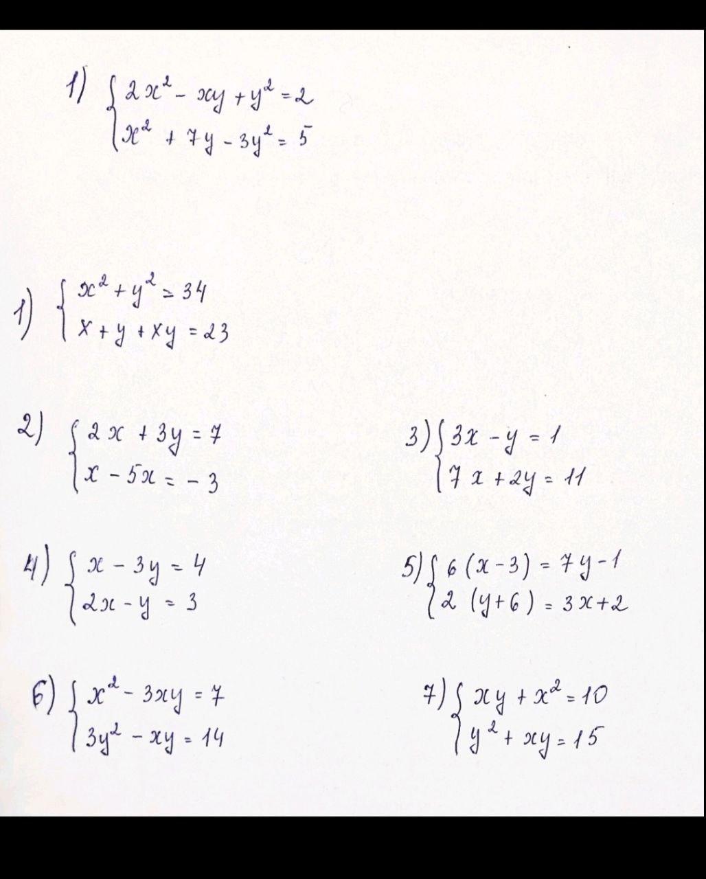
ПОМОГИТЕ ПОЖАЛУСТА СТРОЧНО!!! ДАЮ 40 БАЛОВ И 5 ЗВЁЗД СТРОЧНО!!!

Приложения:

Ответы

Ответ дал: master32wsp
0

#1.

x = 1, y = 1

#1.

x = 3, y = 5

x = 5, y = 3

#2.

x = 3/4, y = 11/6

#3.

x = 1, y = 2

#4.

x = 1, y = -1

#5.

x = 4, y = 1

#6.

x = -1, y = 2

x = 1, y = -2

#7.

x = -2, y = -3

x = 2, y = 3

Объяснение дать к сожалению не могу


dfgdsgdgf: Мне СТРООЧНО надо обьяснения, ПОЖАЛУСТА, скажи через какое приложение или где найти обьяснение!!!! СТРОООЧНО!!
Вас заинтересует