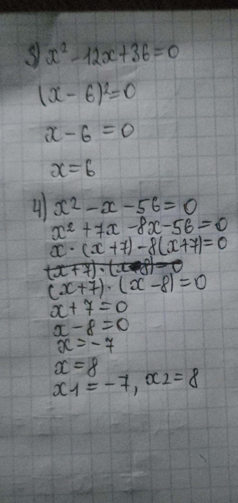
813. Розв'яжіть рiвняння: 1) x² - 4x - 5 = 0; 3) x² - 12x + 36 = 0; 2) 2x² + 7x-4 = 0; 4) x²-x-56= 0.
Ответы
Ответ дал:
3
Ответ:
1) x1=-1; x2=5
2) x1=-4; x2=1/2
3) x=6
4) x1=-7; x2=8
Приложения:


Вас заинтересует
1 год назад
1 год назад
3 года назад
3 года назад
8 лет назад
8 лет назад