• Предмет: Алгебра
  • Автор: sonjakarro
  • Вопрос задан 2 года назад

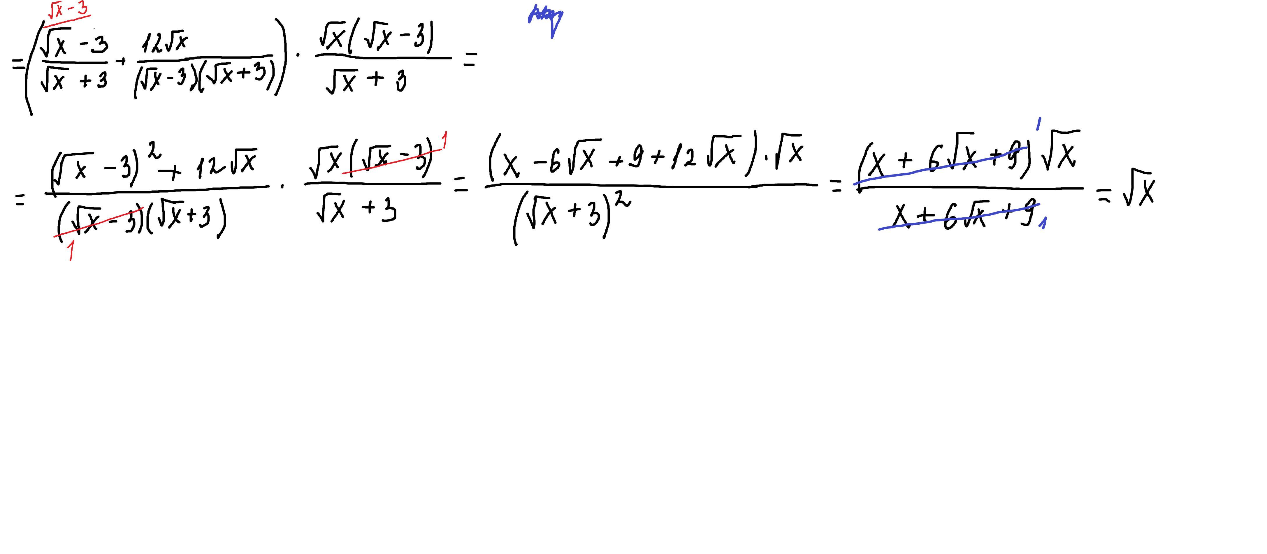
Спростити але з розв'язком будь ласка 55б

Приложения:

Ответы

Ответ дал: parus77
1

Ответ:

√х

Объяснение: применяем формулы   (а-в)²=а²-2ав+в²  (а+в)²=а²+2ав+в²       а²-в²=(а-в)(а+в)

решение внизу

Приложения:
Вас заинтересует