Фото прикрепил, помогите пожалуйста
Приложения:
                    
                            
                    Аноним:
                    напиши свой инст,там решу,данное сообщение не имеет никакой личной информации
                
            Ответы
                                            Ответ дал: 
                                                                                            
                                                    
                                                
                                                                                    
                                        
                                            
                                                
                                                
                                                
                                                    1
                                                
                                            
                                        
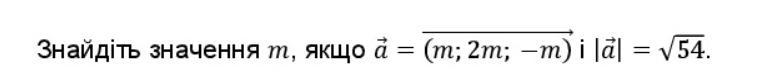
                                    Найдите значение m, если координаты вектора а (m; 2m; -m),
|а|= √54.
Объяснение:
|а|=√(х² +у² + z² ). Тогда возведя обе части в квадрат получим
54=х² +у² + z², подставим координаты вектора а,
54= m² +(2 m) ² + (- m) ²,
54=6m², m²=9 , m=3, m=-3.
                    
                    Спасибо вам огромное, помогите пожалуйста мне с остальными заданиями если можете
                
            Вас заинтересует
                
                        1 год назад
                    
                
                        3 года назад
                    
                
                        3 года назад
                    
                
                        8 лет назад