• Предмет: Алгебра
  • Автор: sidorovanton8225
  • Вопрос задан 2 года назад

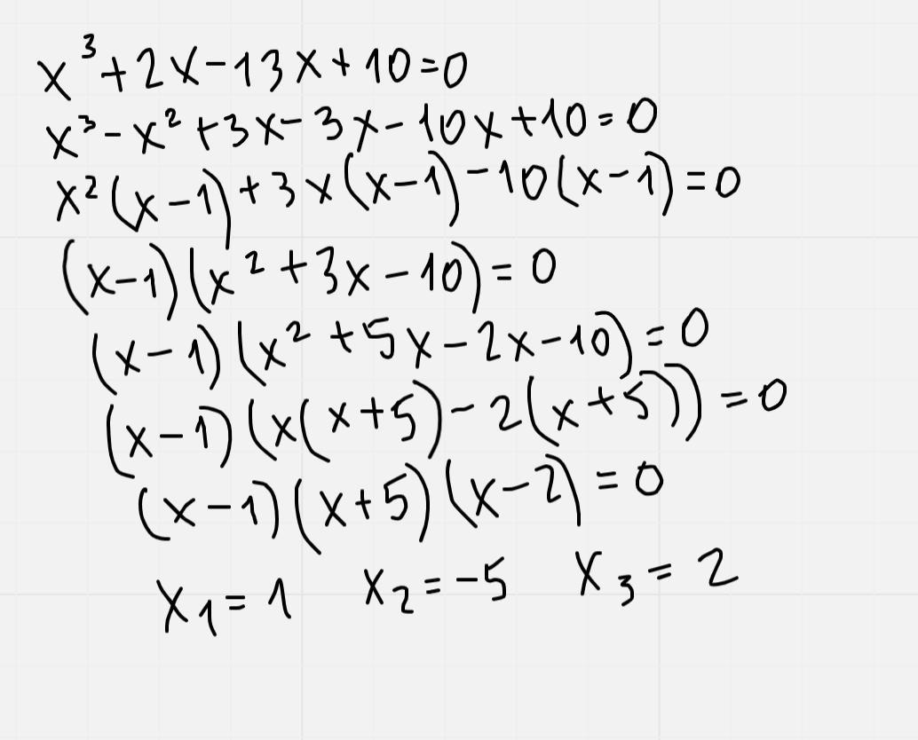
помогите решить x^3+2x^2-13x+10=0

Ответы

Ответ дал: broomspun1
0

Ответ:

дай лучший ответ пж

Объяснение:

Приложения:
Вас заинтересует