• Предмет: Алгебра
  • Автор: Аноним
  • Вопрос задан 2 года назад

Допоможіть будь ласка )))))

Приложения:

Ответы

Ответ дал: 68tata
1

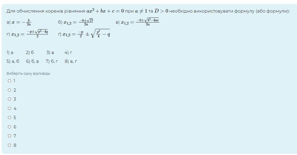
Відповідь: 6) б, в

Пояснення:

якщо D>0, то рівняння має два кореня
відповідь  6) б, в

Вас заинтересует