• Предмет: Алгебра
  • Автор: sofafo01
  • Вопрос задан 2 года назад

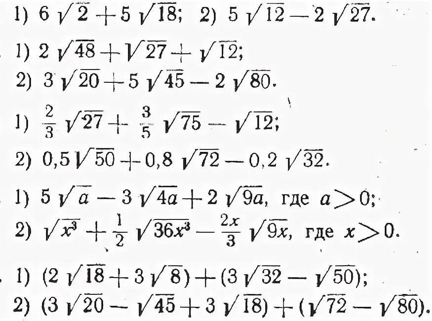
Помогите решить пожалуйста сделать все! Очень срочно!Даю 100 баллов!​

Приложения:

Ответы

Ответ дал: Tatyanko12345
0

Ответ: на фотографии решение

Объяснение:

Приложения:
Вас заинтересует