• Предмет: Алгебра
  • Автор: yarikivan4enko2000
  • Вопрос задан 2 года назад

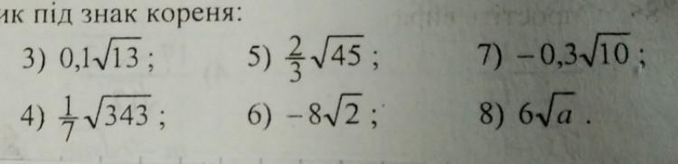
винести множник під знак кореня
100 балов за решение на листке​

Приложения:

Ответы

Ответ дал: kataga
1

Решение смотри на фото

Приложения:

yarikivan4enko2000: спасибо!
Вас заинтересует