• Предмет: Алгебра
  • Автор: dudkin552
  • Вопрос задан 2 года назад

Упростите выражение
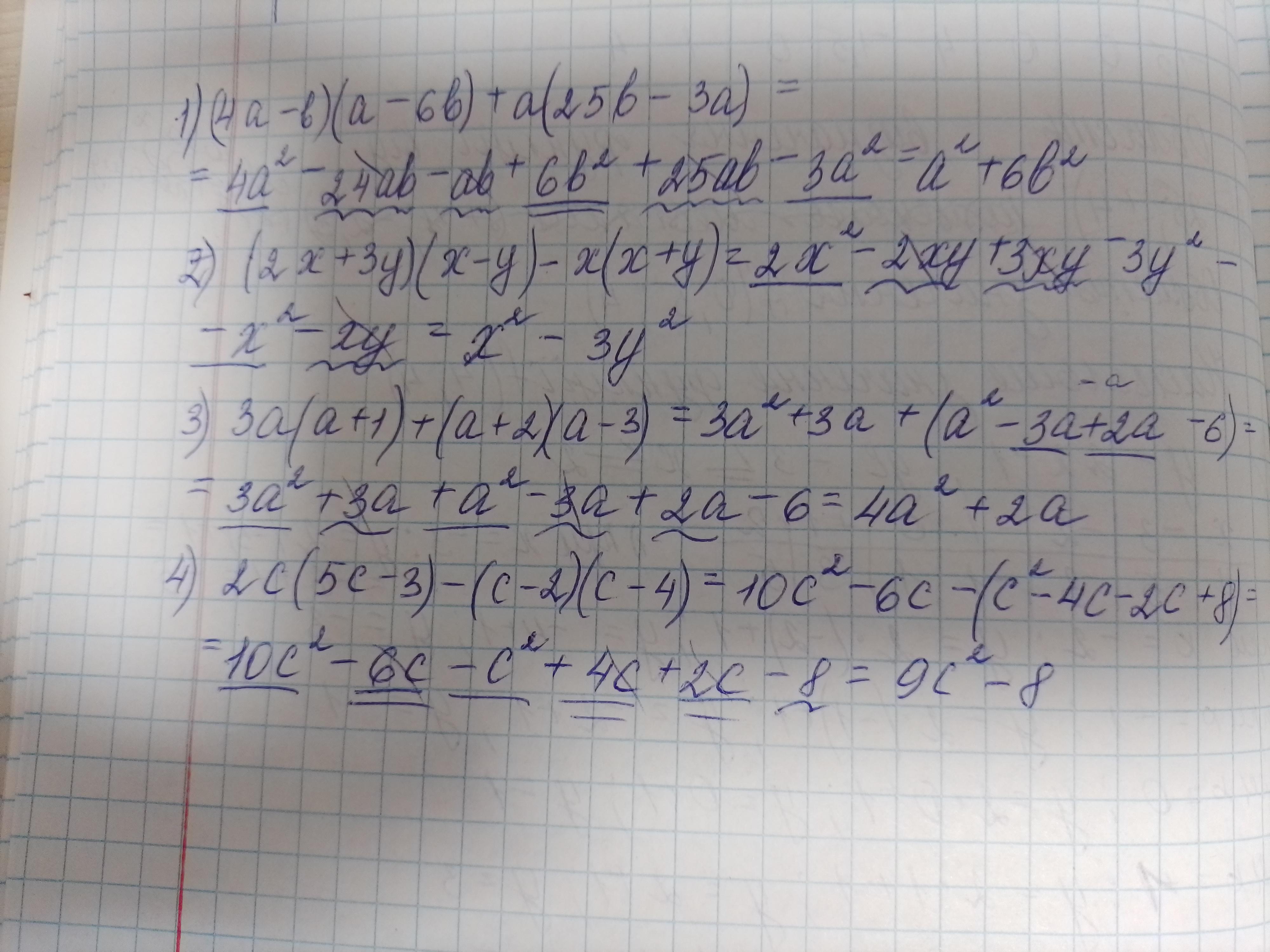
1)(4a-b)(a-6b)+a(25b-3a) 2) (2x+3y)(x-y)-x(x+y) 3)3a(a+1)+(a+2)(a-3) 4) 2c(5c-3)-(c-2)(c-4

Ответы

Ответ дал: lobovatanya85
1

Ответ:

ответ на фото

Объяснение:

Приложения:
Ответ дал: Tatyanko12345
0

Ответ:

на

Объяснение:

Приложения:
Вас заинтересует