Ответы
Ответ дал:
1
Ответ:
Объяснение:
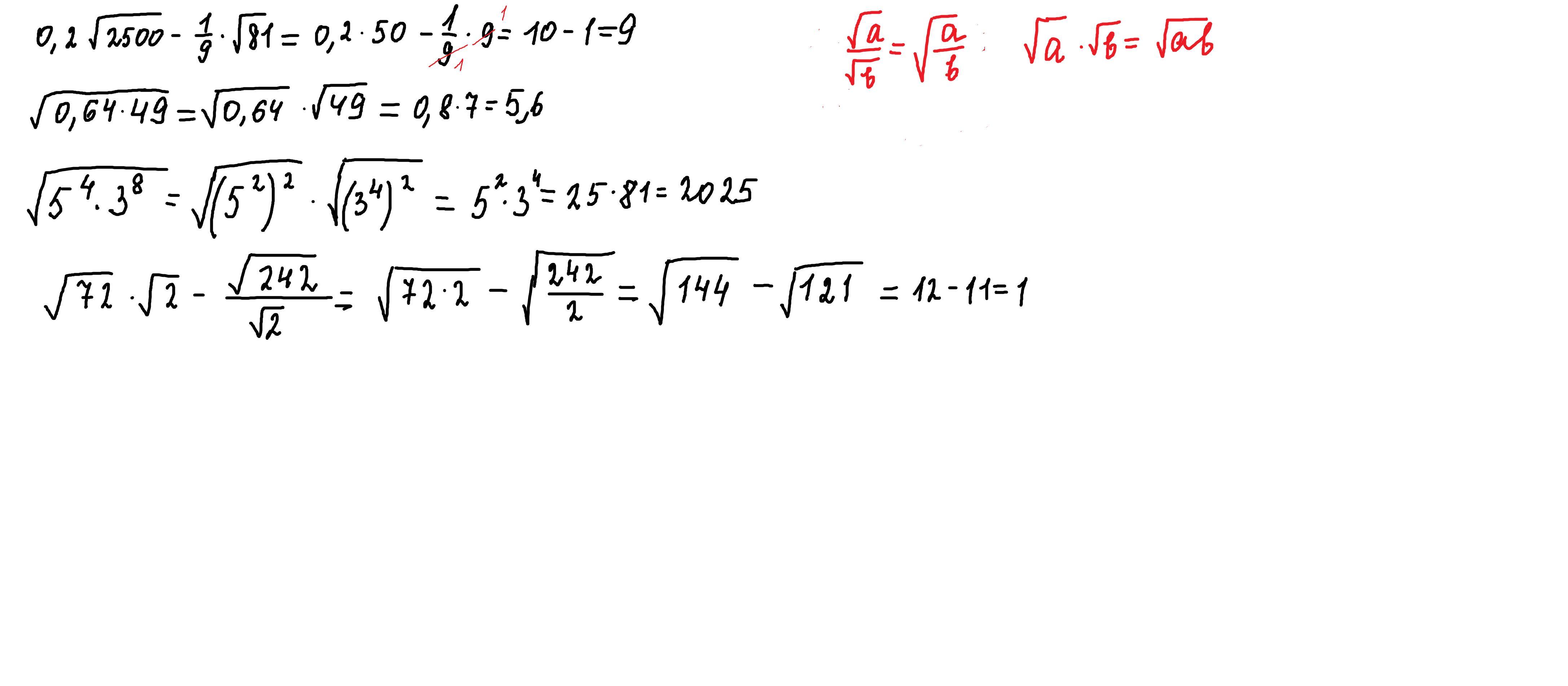
при решении применяем таблицу квадратов
надеюсь как пользоваться -знаете.
Приложения:


vladz20082008:
спасибо
Вас заинтересует
1 год назад
1 год назад
1 год назад
1 год назад
3 года назад
3 года назад
8 лет назад