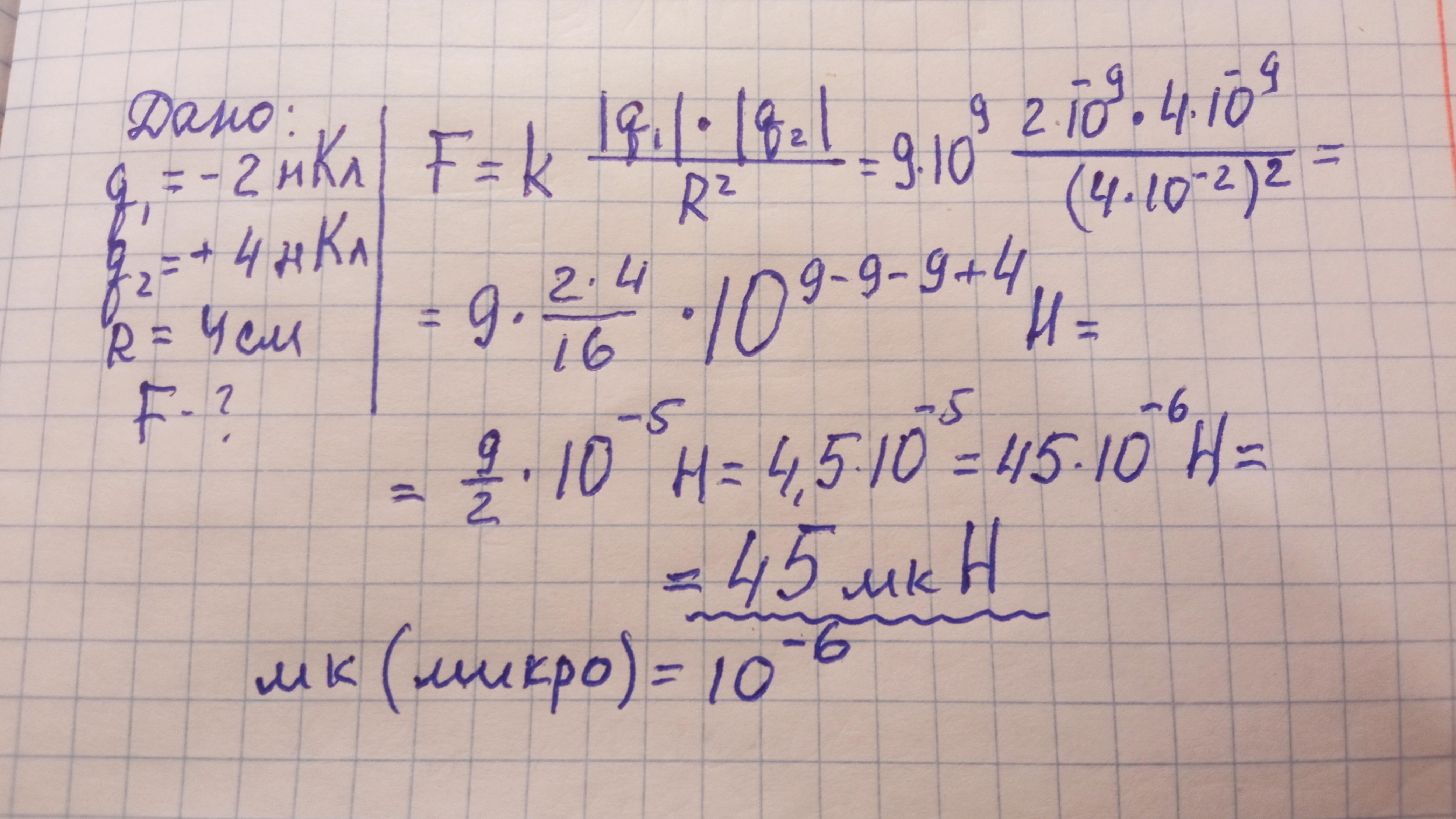
Два заряди-2 нКл i +4 нКл розташовані на відстані 4 см один від одного. З якою силою заряди взаємодіють? k=9-10 H-M² Кл А 45 мкн: Б 45 Мн: В 90 мкн F90 H
СРОЧНО 100 БАЛОВ
Приложения:

Ответы
Ответ дал:
1
Ответ:
Объяснение:.....
Приложения:

arhe0411:
Здравствуйте, помогите пожалуйста решить задачу, она в профиле!!!
Вас заинтересует
1 год назад
1 год назад
1 год назад
3 года назад
8 лет назад
8 лет назад