• Предмет: Математика
  • Автор: pabger228
  • Вопрос задан 2 года назад

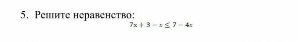
5. Решите неравенство: 7x+3-x<7-4x​

Приложения:

Ответы

Ответ дал: residbaxisov999
1

5.

х<_2/5=х<_0.4

<_(меньше равно)

Вас заинтересует