Ответы
Ответ дал:
0
Решение .
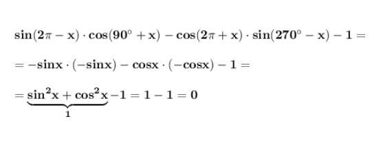
Применяем формулы приведения и основное тригонометрическое тождество .
Приложения:

Вас заинтересует
1 год назад
1 год назад
1 год назад
3 года назад
3 года назад