• Предмет: Математика
  • Автор: ewasharonina
  • Вопрос задан 2 года назад

Помогите пожалуйста............
Сделайте эти два

Приложения:

Ответы

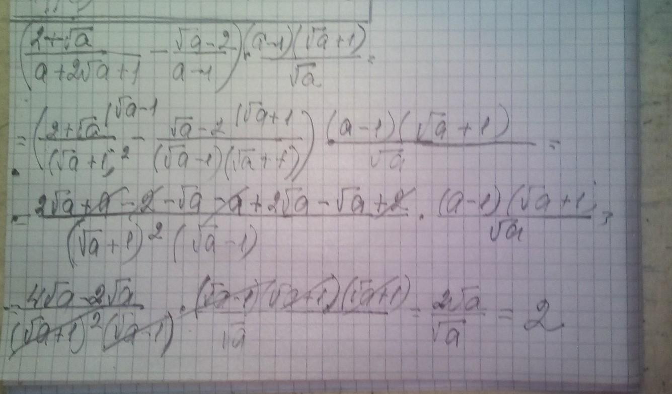
Ответ дал: manyny06
1

Ответ:

решение смотри на фотографии

Приложения:
Вас заинтересует