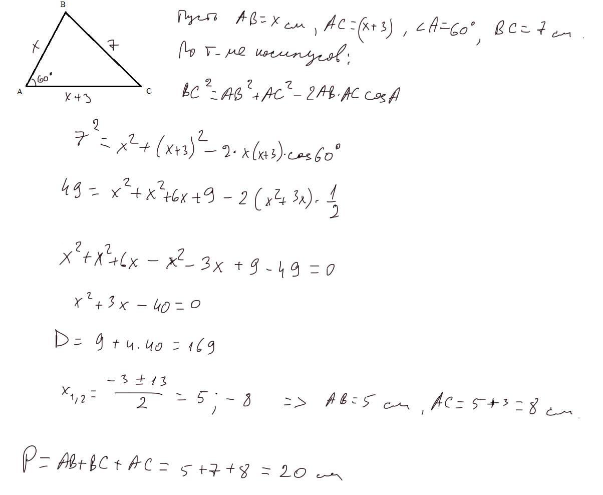
Одна сторона трикутника на 3 см менша від другої, а кут між ними дорівнює 60°. Знайдіть периметр три- кутника, якщо довжина третьої сторони дорівнюе 7 см.
Ответы
Ответ дал:
0
Ответ:
20 см
Объяснение:
Приложения:

Вас заинтересует
1 год назад
1 год назад
1 год назад
3 года назад
3 года назад
8 лет назад