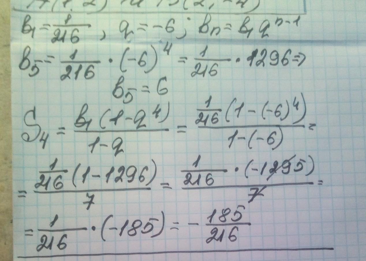
СРОЧНО СРОЧНОООООООООООО Я ТУПЛЮЮЮЮ2. Знайдіть п'ятий член і суму перших чотирьох членів геометричної прогресії (бн), якщо b1=1/216, а знаменник q=-6
Ответы
Ответ дал:
0
Ответ:
решение смотри на фотографии
Приложения:

Вас заинтересует
1 год назад
1 год назад
1 год назад
3 года назад
3 года назад
8 лет назад