• Предмет: Алгебра
  • Автор: sawerbq
  • Вопрос задан 2 года назад

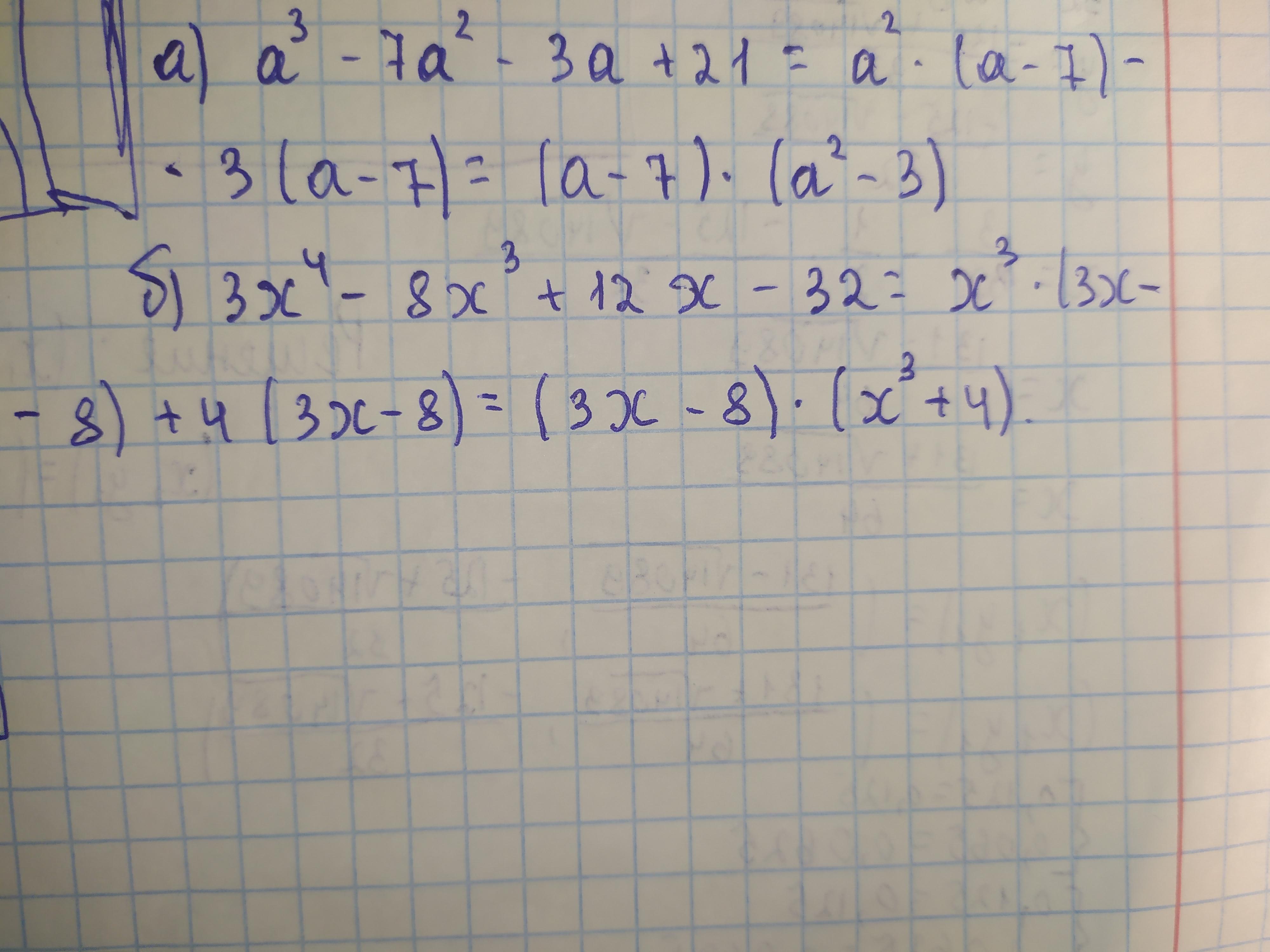
Представьте в виде произведения:
a) a ^ 3 - 7a ^ 2 - 3a + 21 =
б) 3x ^ 4 - 8x ^ 3 + 12x - 32 =​

Ответы

Ответ дал: manyny06
4

Ответ:

решение смотри на фотографии

Приложения:

tanakrut04: Допоможіть 8 клас буду Вдячна.
mmech7050: Здравствуйте, помогите пожалуйста
mmech7050: сумма длин всех ребер прямоугольного параллелепипеда 144 см найдите длину каждого ребра если ab:bc=2:3, bc:bb1=3:4 с рис...
https://znanija.com/task/52178593?utm_source=android&utm_medium=share&utm_campaign=question
Ответ дал: sever0000
0

Ответ:

фото

Объяснение:

Приложения:

tanakrut04: допоможи мені з моїм питанням прошу
Вас заинтересует