• Предмет: Информатика
  • Автор: karadzaevadzennet
  • Вопрос задан 2 года назад

С++
Напишите код,срочно очень надо

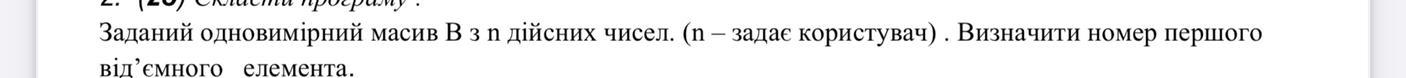
Приложения:

Ответы

Ответ дал: pupkinll2016
1

Ответ:

#include <iostream>

#include <limits>

int main() {

int n;

std::cout << "Введите количество элементов массива: ";

std::cin >> n;

double arr[n];

std::cout << "Введите элементы массива: ";

for (int i = 0; i < n; ++i) {

std::cin >> arr[i];

}

double min_val = std::numeric_limits<double>::max();

int min_idx = -1;

for (int i = 0; i < n; ++i) {

if (arr[i] < min_val) {

min_val = arr[i];

min_idx = i;

}

}

if (min_idx >= 0) {

std::cout << "Первый наименьший элемент: " << min_val << std::endl;

std::cout << "Номер элемента: " << min_idx << std::endl;

} else {

std::cout << "Массив пустой." << std::endl;

}

return 0;

}

Объяснение:

Код использует стандартную библиотеку iostream для ввода/вывода, а также limits, чтобы получить максимальное значение типа double. Далее, пользователь вводит количество элементов массива n и значения элементов массива. Затем происходит поиск первого наименьшего элемента в массиве, и его номер выводится на экран. Если массив пустой, выводится соответствующее сообщение.

Вас заинтересует