• Предмет: Алгебра
  • Автор: annxvibeeee
  • Вопрос задан 2 года назад

Помогите пожалуйста решить очень подробно

Приложения:

Ответы

Ответ дал: сок111213
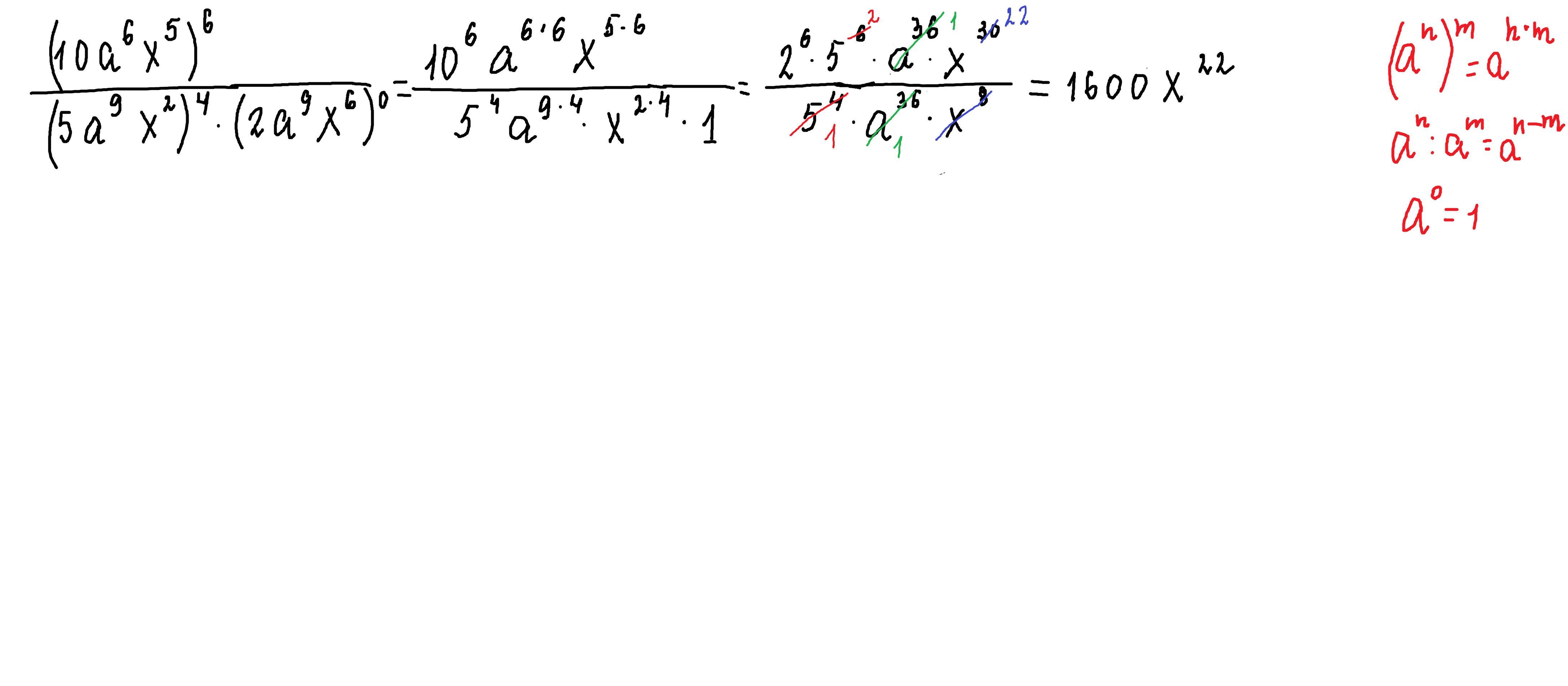
3

 \frac{(10a {}^{6}x {}^{5} ) {}^{6}  }{(5a {}^{9} x {}^{2}) {}^{4}  \times (2a {}^{9}  x {}^{6}) {}^{0}  }  =  \frac{10 \times 10 \times 10 \times 10 \times 10 \times 10 \times a {}^{36} \times x {}^{30}  }{5 \times 5 \times 5 \times 5 \times a {}^{36} \times x {}^{8}   \times 1}  =  \frac{2 \times 2 \times 2 \times 2 \times 10 \times 10 \times x {}^{22} }{1}  = 1600x {}^{22}


Аноним: Помогите пожалуйста
Ответ дал: parus77
1

Ответ:

1600х²²

Объяснение:

решение внизу

Приложения:
Вас заинтересует