Ответы
Ответ дал:
0
Ответ:
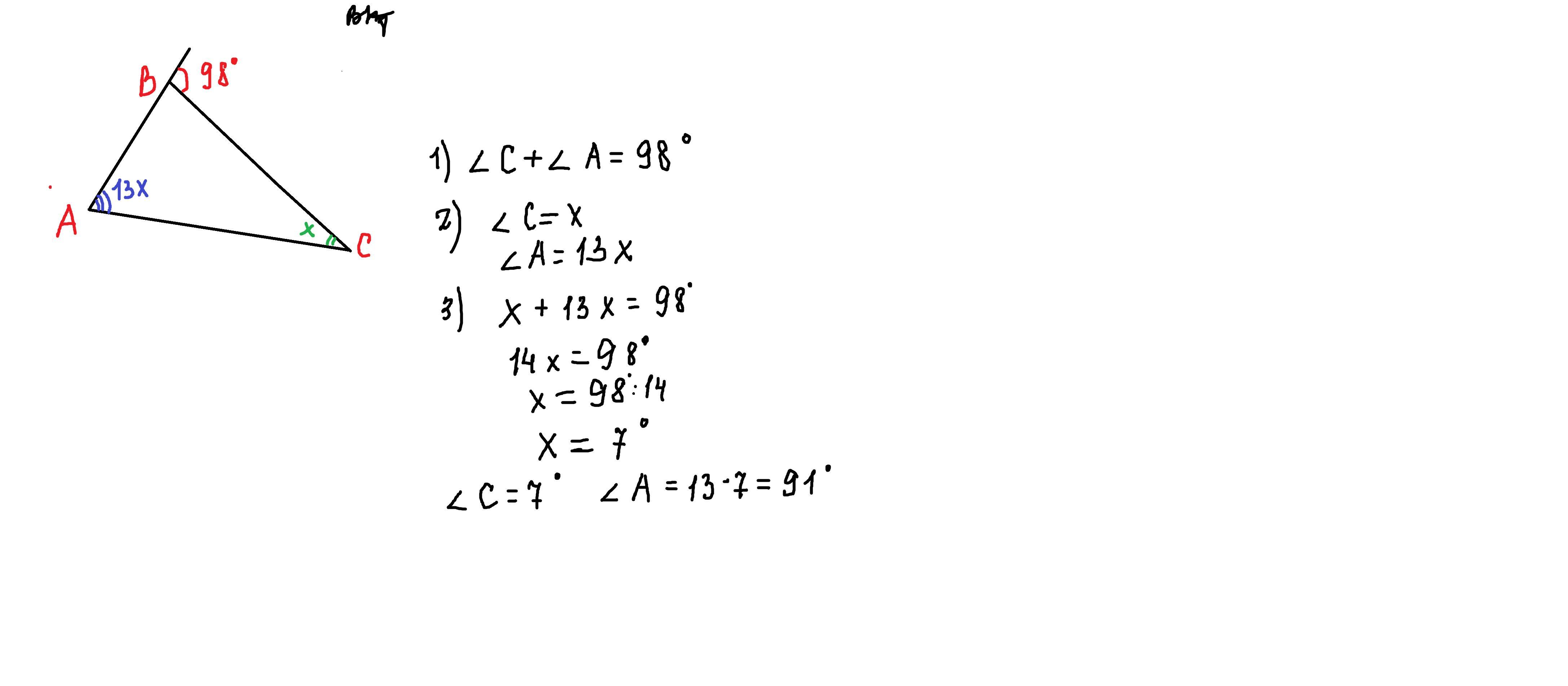
∠С=7° ∠А=91°
Объяснение:
1) внешний угол треугольника равен сумме двух углов,не смежных с ним.
2)пусть меньший угол С это Х,тогда больший угол А- 13Х
3) по условию сост. уравнение и находим углы
Приложения:

Вас заинтересует
1 год назад
1 год назад
1 год назад
3 года назад
3 года назад
8 лет назад