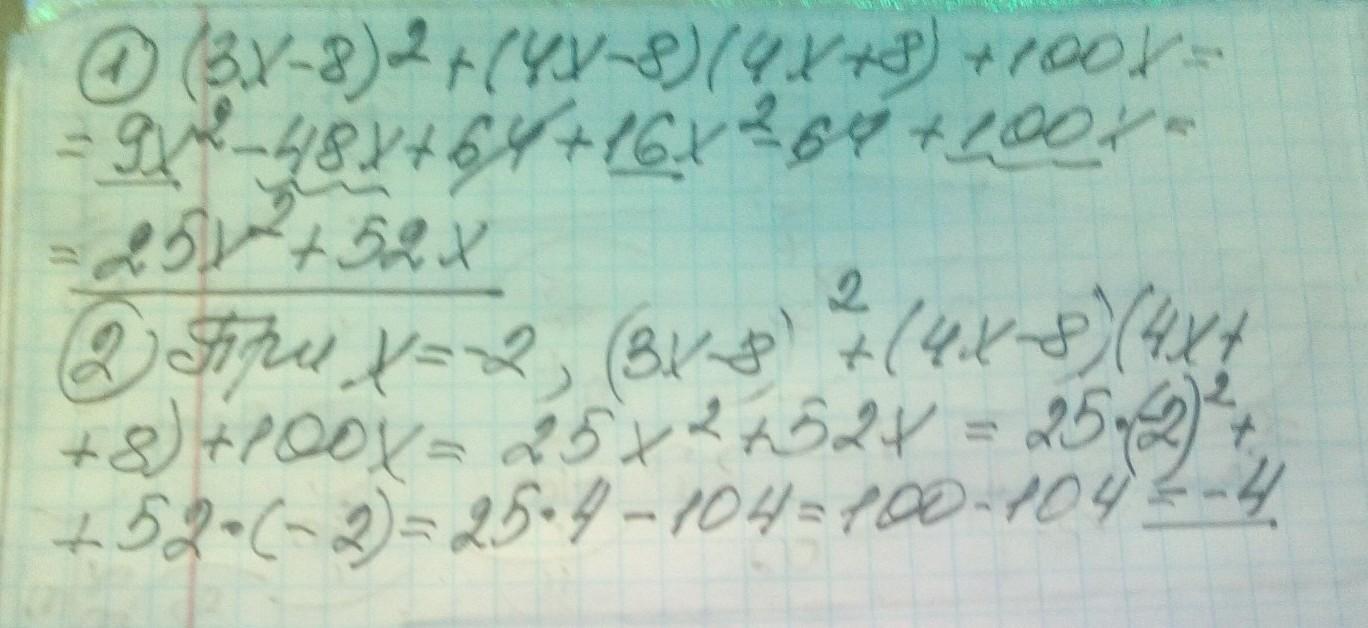
Задание 3 (4 балла). Упростите выражение: (3 х – 8)2 + (4 х – 8)(4 х + 8) + 100 х. Покажите, что значение выражения (3 х – 8)2 + (4 х – 8)(4 х + 8) + 100 х при х = –2 равно –4.
Приложения:

Ответы
Ответ дал:
1
Ответ:
решение смотри на фотографии
Приложения:

Вас заинтересует
1 год назад
1 год назад
1 год назад
1 год назад
3 года назад
3 года назад
8 лет назад