• Предмет: Алгебра
  • Автор: nepon120gif
  • Вопрос задан 2 года назад

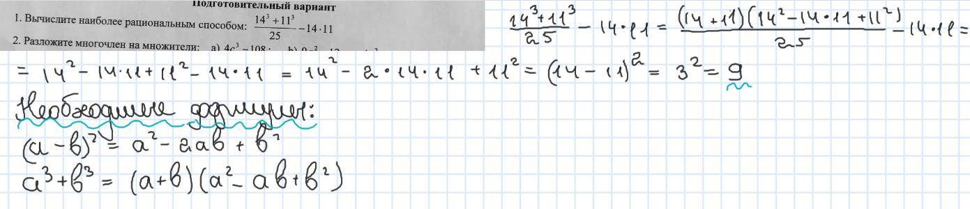
1. Вычислите наиболее рациональным способом...
задание на картинке ​

Приложения:

Ответы

Ответ дал: justsawerty
1

Решение в прикрепленном файле

Приложения:
Вас заинтересует