• Предмет: Математика
  • Автор: zkovtun82
  • Вопрос задан 2 года назад

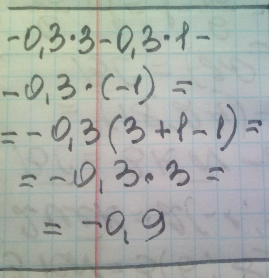
Обчисліть найзручнішим способом:

- 0,3 *3 -0,3 *1 -0,3* (-1)

Ответы

Ответ дал: manyny06
1

Ответ:

решение смотри на фотографии

Приложения:
Вас заинтересует