Найдите произведение наименьшего целого решения на количество всех целых решений неравенства
Приложения:

Ответы
Ответ дал:
1
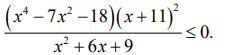
На фото решение неравенства. Из него видим, что наименьшее целое решение - (-11), а общее количество целых решений - 7: -11, -2, -1, 0, 1, 2, 3. Тогда ответ: (-77).
Приложения:

lutipon27:
Спасибо
Вас заинтересует
1 год назад
1 год назад
1 год назад
1 год назад
3 года назад
8 лет назад
8 лет назад