• Предмет: Алгебра
  • Автор: oleksandrasevcik087
  • Вопрос задан 2 года назад

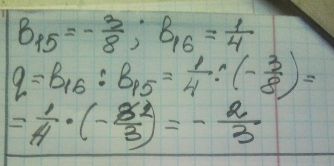
Чому дорівнює знаменник геометричної прогресії, якщо п'ятнадцятий член прогресії дорівнює -3/8, а шістнадцятий дорівнює 1/4

Ответы

Ответ дал: manyny06
0

Ответ:

решение смотри на фотографии

Приложения:
Вас заинтересует