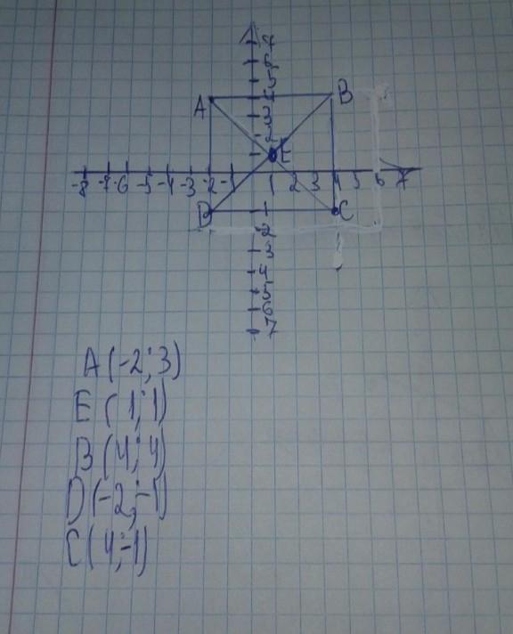
5. На координатной плоскости постройте квадрат АBCD с вершиной в точке A(-4; 2) и центром симметрии в точке Е(-1: 1). Запишите точки В. C.D.
Пжпжпжпжжпжжп помогите у меня СОЧ кто нибудь помтгите мне решить этот пример пжжпжпжпжппжпж пожалуйста
Приложения:

Ответы
Ответ дал:
1
ответ на фото,мрьврьрьрут
Пошаговое объяснение:
:)
Приложения:

Ответ дал:
1
Відповідь:
ну пон
Покрокове пояснення:тож пон
Приложения:

Вас заинтересует
1 год назад
1 год назад
1 год назад
3 года назад
3 года назад
8 лет назад